Sign Up
Stumath | Q&A Community

Questions & Answers

Get help from expert tutors with step-by-step solutions to your problems

400
Solved Questions
400
Solutions
62
Active Tutors
Subject:
Grade Level:
Sort:
397 questions
Mathematics Grade 12
Dec 02, 2020
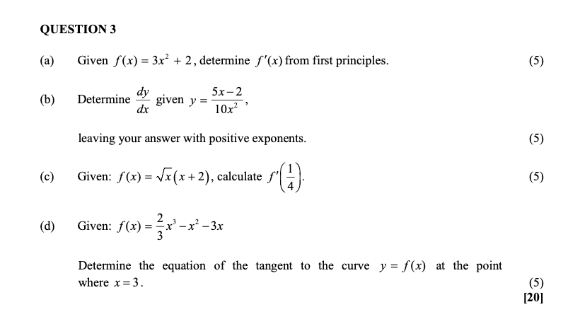
Determine the equation of the tangent to the curve y = f(x) at the point where x=3. Complete the exercise
Question
1 Solution(s)
Click to view full details
Mathematics Grade 12
Nov 11, 2020
Determine the following, giving reasons
Question
1 Solution(s)
Click to view full details
Mathematics Grade 12
Nov 02, 2020
Determine the dimensions of x, y and h when the area is maximised. Complete the exercise
Question
1 Solution(s)
Click to view full details
Mathematics Grade 12
Oct 30, 2020
Determine whether the graph of h intersects the graph of g at its point of inflection. Show all working. Complete the ex...
Question
1 Solution(s)
Click to view full details
Mathematics Grade 12
Oct 23, 2020
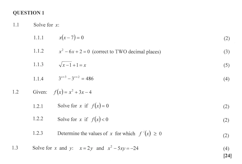
Solve for x and complete the exercise
Question
1 Solution(s)
Click to view full details
Physics Grade 12
Oct 05, 2020
Calculate the distance between balls P and Q. Complete the exercise
Question
1 Solution(s)
Click to view full details
Chemistry Grade 11
Sep 16, 2020
Draw out the structural formula of compound A. Complete the exercise
Question
1 Solution(s)
Click to view full details
Chemistry Grade 12
Sep 11, 2020
Calculate the standard electrode potential (E°) of metal X and hence determine the identity of metal X. Complete the ex...
Question
1 Solution(s)
Click to view full details
Chemistry Grade 12
Sep 07, 2020
Write a balanced chemical equation for the reaction of Hydrochloric acid with magnesium carbonate. Complete the exercise
Question
1 Solution(s)
Click to view full details