Sign Up
Stumath | Q&A Community

Questions & Answers

Get help from expert tutors with step-by-step solutions to your problems

400
Solved Questions
400
Solutions
62
Active Tutors
Subject:
Grade Level:
Sort:
397 questions
Mathematics Grade 12
Apr 23, 2020
Solve for x. Complete the exercise
Question
1 Solution(s)
Click to view full details
Mathematics Grade 12
Apr 22, 2020
Calculate the values of k and β. Complete the exercise
Question
1 Solution(s)
Click to view full details
Mathematics Grade 12
Apr 21, 2020
Determine the angle ABC. Complete the exercise
Question
1 Solution(s)
Click to view full details
Mathematics Grade 12
Apr 20, 2020
Determine the coordinates of A and B. Complete the exercise
Question
1 Solution(s)
Click to view full details
Mathematics Grade 12
Apr 20, 2020
Name, with reasons, 3 angles equal to x. Complete the exercise
Question
1 Solution(s)
Click to view full details
Mathematics Grade 12
Apr 18, 2020
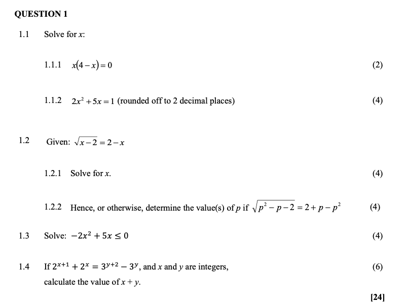
Solve for x in each of the following and complete the exercise
Question
1 Solution(s)
Click to view full details
Mathematics Grade 12
Apr 18, 2020
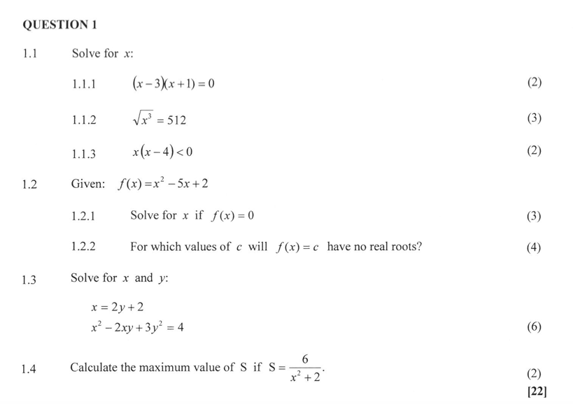
Complete Question 1
Question
1 Solution(s)
Click to view full details
Mathematics Grade 12
Apr 17, 2020
Calculate the coordinates of V. Complete the exercise
Question
1 Solution(s)
Click to view full details
Mathematics Grade 12
Apr 16, 2020
Complete Question 6
Question
1 Solution(s)
Click to view full details