Sign Up
Stumath | Q&A Community

Questions & Answers

Get help from expert tutors with step-by-step solutions to your problems

400
Solved Questions
400
Solutions
62
Active Tutors
Subject:
Grade Level:
Sort:
397 questions
Physics Grade 12
Jun 11, 2020
Complete Question 7
Question
1 Solution(s)
Click to view full details
Physics Grade 12
Jun 11, 2020
Calculate the velocity of the stuntman when he reaches the trampoline. Complete the exercise
Question
1 Solution(s)
Click to view full details
Mathematics Grade 12
Jun 08, 2020
Calculate the size of P. Complete the exercise
Question
1 Solution(s)
Click to view full details
Economics University - 1st Year
Jun 06, 2020
15R
Question
1 Solution(s)
Click to view full details
Chemistry Grade 12
Jun 02, 2020
Complete Question 10
Question
1 Solution(s)
Click to view full details
Physics Grade 12
Jun 02, 2020
Calculate the magnitude of the tension in the string connecting the two blocks. Complete the exercise
Question
1 Solution(s)
Click to view full details
Mathematics Grade 12
Jun 01, 2020
Complete Question 3
Question
1 Solution(s)
Click to view full details
Mathematics Grade 12
May 30, 2020
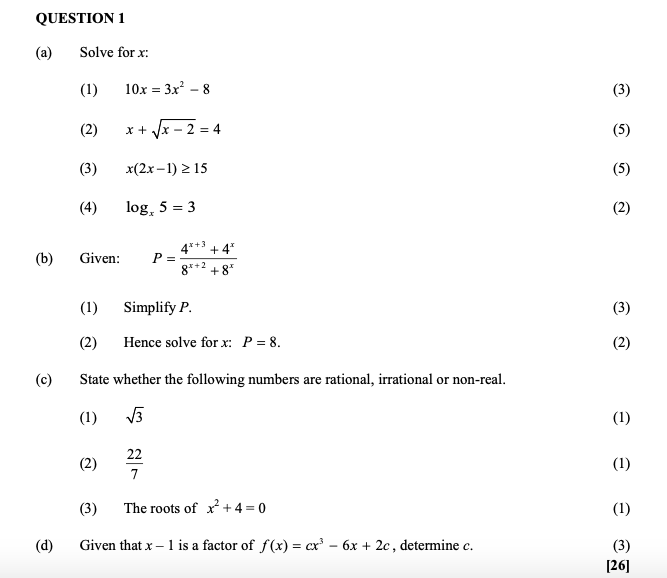
Complete Question 1
Question
1 Solution(s)
Click to view full details
Mathematics Grade 12
May 29, 2020
Complete Question 11
Question
1 Solution(s)
Click to view full details